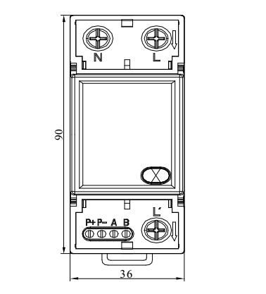
下面跟著浩寧科技小編一起來了解DDS102-P2單相導軌式電能表|電度表的接線圖:
1. 安裝與接線


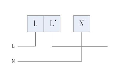
2. 儀表接線圖
接線說明:

端子說明:

3. 注意事項
①儀表應盡量安裝在干燥、通風良好并遠離熱源和強電(磁)場的地方。
②工作環境溫度為:-25℃ ~+60℃,濕度:≤95℅(無凝露)。
③儀表必須牢固安裝,以防止震動導致安全事故。
④配電屏的各項尺寸設計要給儀表產品維護的安全性和操作方便性留有足夠的余地。
⑤電氣連接線要求:電流輸入線用大于2.5mm2多股阻燃銅線,電壓輸入線、電源線用1.5mm2多股阻燃銅線,RS485通信用1.0mm2屏蔽雙絞線。
⑥電氣連接要求:儀表電壓輸入回路和工作電源回路必須接入合適的保險絲(如0.5A保險絲);應提供一個CT短路盒,在儀表的電流輸入不連接時,不會使CT開路。

